Fällt der Knecht in den Mist, lacht der Bauer bis er pisst.
der offizielle "die hitze hat mein hirn verbrannt"-thread
-
-
Sprach der Scheich zum Emir: Gehn mir?
Da sprach der Emir zum Scheich: Da gehn mir aber gleich! -
Abraham zu Bebraham: kann ich ma dein Zebra ham?
-
Und ich zappe gerade bei RTL vorbei und sehe wieder jede menge Menschen, denen das Hirn unwiderruflich zerstört wurde.
-
ich esse jetzt ein milchbrötchen! und zwar ein ganzes!
-
stirbt der bauer mitte zwanzig, war wohl früh die butter ranzig.
-
kotz, aktivweiche geht net.
NACHTS IST ES KÄLTER ALS DRAUßEN ABER NUR WENN MAN DIE KUH MIT REIN NIMMT ZUM FERNSCHAUEN!
-
Drischt die Bäuerin derb ihren Alten,
kann sich der Ochse vor Lachen kaum halten! -
Zitat
Original von Anthrax
Sprach der Scheich zum Emir: Gehn mir?
Da sprach der Emir zum Scheich: Da gehn mir aber gleich!Eigentlich:
Sprach der Scheich zum Emir: Jetzt zahln mer und dann gehn mir!
Da sprach der Emir zum Scheich: Gehn mir lieber gleich!Macht auch Sinn

-------
Im Gras sitzt a Has´
ganz staad -
Kopf abgmahd
-------cheers Rudi
-
Zitat
Original von Peter Silie
Mehr Käse = mehr Löcher
Mehr Löcher = weniger Käse
Mehr Käse = weniger KäseInteressante Gleichung. da hätte ich auch was dafür:
-
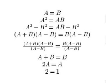
in der 5ten zeile wird durch null dividiert. das ist nicht definiert. wenn mans trotzdem macht geht man bei allen weiteren rechenschritten von einer falschen aussage aus und kann damit alles (jeden quatsch) "beweisen".
-
Zitat
Original von chesterhead
Ist ein Vektorfeld konservativ, sprich ist der Bereich der Abbildung sternförmig und die Jakobimatrix symmetrisch, so ist ein Kurvenintegral über eine geschlossen Kurve immer 0. Das hierfür benötigte Potenzial wird über unbestimmte Integration, Integration längs eines achsenparallen Polygonzugs oder mittels Integration über eine direkte Verbindungslinie bestimmt. Die Jakobimatrix wird durch das horizontale Strecken der Einzelgliedgradienten des Vektorfeldes gebildet.Es folgt: Wer im Kreis läuft verrichtet keine Arbeit.
Du Arsch, jetzt dacht ich für nen Moment ich sitze in Mathe im 3ten Semester (da wo noch kühl war) ... das mit dem Kreislaufen ohne Arbeit hat der gute Bohr auch schon gewusst

-
denen ist auch komplett was durchgebrannt durch die Hitze:
http://www.bild.t-online.de/BT…s-wetter/mars-wetter.html -
Hihi lol...
aber ist mal wieder interessant zu sehen, sterben hier 7 von 80mio, wird ein Riesentamtam drum gemacht, und im Nebensatz werden ein paar hundert Tsunamiopfer oder Anschlagsopfer aus dem Libanon etc. erwähnt.
-
-
Wenn es in die Suppe hagelt, ist das Dach wohl schlecht vernagelt...
-
23 bitte die 12
-
Regen im Mai, April vorbei
-
If You mean what I've known!
-
Zitat
Original von ccccz
in der 5ten zeile wird durch null dividiert. das ist nicht definiert. wenn mans trotzdem macht geht man bei allen weiteren rechenschritten von einer falschen aussage aus und kann damit alles (jeden quatsch) "beweisen".
ah, danke sehr.
war schon etwas verwirrt....
Jetzt mitmachen!
Du hast noch kein Benutzerkonto auf unserer Seite? Registriere dich kostenlos und nimm an unserer Community teil!
